ИНСТРУКЦИОННАЯ КАРТА
Практического занятия
Тема: Определение показателей использования оборотных фондов организации.
Цель: научиться определять показатели использования оборотных фондов предприятия
Ход работы:
Для достижения поставленной цели необходимо решить ряд задач:
Научиться рассчитывать разные виды стоимости основных фондов предприятия;
Освоить современные методы расчета нормы амортизации и амортизационных отчислений.
Задачи на проведение стоимостной оценки основных фондов предприятия
Задача 1
Стоимость приобретения оборудования составляет 90 тыс. руб., транспортные и монтажные затраты – 10 тыс. руб. Работы по пуску и наладке нового оборудования предприятию обойдутся в 5 тыс. руб. Определить первоначальную стоимость основных производственных фондов предприятия.
Задача 2
Первоначальная стоимость оборудования для предприятия составляет 100 тыс. руб. период эксплуатации оборудования – 8 лет. среднегодовые темпы роста производительности труда в отрасли составляют 3 %. Определить восстановительную стоимость основных производственных фондов.
Задача 3
Первоначальная стоимость основных производственных фондов предприятия составляет 100 тыс. руб. период эксплуатации оборудования – 8 лет. Определить остаточную стоимость основных производственных фондов, если норма амортизационных отчислений для данного оборудования составляет 10 %.
Задача 4
Стоимость основных производственных фондов предприятия на начало 2015 года составляла 7825 тыс. руб. в течение года как по вводу, так и по выбытию основных фондов было проведено четыре мероприятия. Они отражены в табл. 1.
|
| Таблица 1 |
| Месяц | Стоимость введенных основных фондов на 1-е число месяца, тыс. руб. | Стоимость ликвидированных основных фондов на 1-е число месяца, тыс. руб. |
| Март | 60 | 3 |
| Июнь | 80 | 8 |
| Август | 100 | 10 |
| Декабрь | 15 | 7 |
Рассчитать среднегодовую стоимость основных производственных фондов, приуроченную к началу периода.
Задача 5
На основании условий предыдущей задачи №4 рассчитать среднегодовую стоимость основных производственных фондов, приуроченную к концу периода.
Задачи на расчет амортизации и амортизационных отчислений современными методами
Амортизация в денежной форме выражает износ основных фондов и начисляется на издержки производства (себестоимость) на основе амортизационных норм.
Амортизационные отчисления по основным средствам начисляются с первого месяца, следующего за месяцем принятия объекта на бухгалтерский учет, и до полного погашения стоимости объекта либо его списания с бухгалтерского учета в связи с прекращением права собственности или иного вещного права.
Задача 1
Предприятием приобретен объект основных производственных фондов стоимостью 100 тыс. руб. со сроком полезного использования 10 лет. Определить годовую сумму амортизационных отчислений линейным (пропорциональным) способом.
Задача 2
Предприятием приобретен объект основных производственных фондов стоимостью 100 тыс. руб. со сроком полезного использования 10 лет. Определить годовую сумму амортизационных отчислений способом уменьшаемого остатка.
Задача 3
Предприятием приобретен объект основных производственных фондов стоимостью 100 тыс. руб. со сроком полезного использования 10 лет. Определить годовую сумму амортизационных отчислений по сумме числа лет срока полезного использования.
Задача 4
Организацией приобретено транспортное средство стоимостью 150 тыс. руб. с предполагаемым пробегом 1500 тыс. км. Пробег в отчетном периоде составляет 50 тыс. км. Определить сумму амортизационных отчислений за период пропорционально объему продукции (работ).
Задача 5
Цена единицы оборудования составляет Цоб = 6 тыс. руб.
Значения затрат 3рем, связанных с поддержанием этого оборудования в работоспособном состоянии, приведены в табл. 6.
|
| Таблица 6 |
| Год эксплуатации | 3 | 4 | 5 | 6 | 7 | 8 | 9 | 10 |
| Затраты, тыс. руб. | 0,5 | 0,8 | 1,0 | 1,1 | 1,2 | 1,2 | 1,3 | 1,5 |
Определить экономически обоснованный срок службы оборудования.
Задача 6
На предприятии имеется оборудование возрастом 9 лет. Определить годовой эффективный фонд времени работы данного оборудования.
Задача 7
Парк оборудования предприятия состоит из 30 единиц, из которых оборудование возрастом 4 года – 12 ед.; 12 лет – 12 ед., 17 лет – 6 ед. Определить годовой эффективный фонд времени работы парка оборудования.
Задача 8
Парк оборудования предприятия состоит из 30 единиц, из которых оборудование возрастом 4 года – 12 ед.; 12 лет – 12 ед., 17 лет – 6 ед. Определить годовой эффективный фонд времени работы парка оборудования на основе расчета среднего возраста парка оборудования.
Сделайте вывод о проделанной работе
ответы:
Задачи на проведение стоимостной оценки основных фондов предприятия
Проведение стоимостной оценки основных фондов предполагает определение первоначальной, восстановительной и остаточной стоимости. В дальнейших расчетах может понадобиться значение среднегодовой стоимости основных производственных фондов.
Для расчета среднегодовой стоимости можно использовать два метода. По первому методу ввод и выбытие основных производственных фондов приурочивается к началу, а по второму – к концу анализируемого периода.
Задача 1
Стоимость приобретения оборудования составляет 90 тыс. руб., транспортные и монтажные затраты – 10 тыс. руб. Работы по пуску и наладке нового оборудования предприятию обойдутся в 5 тыс. руб. Определить первоначальную стоимость основных производственных фондов предприятия.
Технология решения задачи:
Первоначальная стоимость основных фондов Фп включает в себя стоимость их приобретения Цо с учетом затрат, связанных с вводом нового объекта основных фондов З вв. в состав этих затрат входят транспортные, монтажные и, если имеют место, пуско-наладочные затраты:
| | (6) |
В нашем случае первоначальная стоимость основных производственных фондов будет равна
Фп = (90 + 10 + 5) = 105 тыс. руб.
Ответ: первоначальная стоимость основных производственных фондов равна 105 тыс. руб.
Задача 2
Первоначальная стоимость оборудования для предприятия составляет 100 тыс. руб. период эксплуатации оборудования – 8 лет. среднегодовые темпы роста производительности труда в отрасли составляют 3 %. Определить восстановительную стоимость основных производственных фондов.
Технология решения задачи:
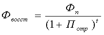
Восстановительная стоимость основных фондов Фвосст рассчитывается с учетом их переоценки:
| | (7) |
где Потр – среднегодовые темпы роста производительности труда в отрасли;
t – время между годами выпуска и переоценки (например, год выпуска 2000, год переоценки – 2005, значит t= 5).
Восстановительная стоимость основных фондов с учетом их переоценки в нашей задаче равна:
Ответ: восстановительная стоимость основных производственных фондов равна 78940 руб.
Задача 3
Первоначальная стоимость основных производственных фондов предприятия составляет 100 тыс. руб. период эксплуатации оборудования – 8 лет. Определить остаточную стоимость основных производственных фондов, если норма амортизационных отчислений для данного оборудования составляет 10 %.
Технология решения задачи:
Первоначальная стоимость, уменьшенная на величину перенесенной стоимости, представляет собой остаточную стоимость основных производственных фондов Фост. Поэтому для решения данной задачи используем следующую формулу:
| | (8) |
где НА – норма амортизационных отчислений;
tэкспл – период эксплуатации основных фондов.
Подставив известные из условия задачи данные, получаем:
Ответ: остаточная стоимость основных производственных фондов составляет 20 тыс. руб.
Задача 4
Стоимость основных производственных фондов предприятия на начало 2005 года составляла 7825 тыс. руб. в течение года как по вводу, так и по выбытию основных фондов было проведено четыре мероприятия. Они отражены в табл. 1.
|
| Таблица 1 |
| Месяц | Стоимость введенных основных фондов на 1-е число месяца, тыс. руб. | Стоимость ликвидированных основных фондов на 1-е число месяца, тыс. руб. |
| Март | 60 | 3 |
| Июнь | 80 | 8 |
| Август | 100 | 10 |
| Декабрь | 15 | 7 |
Рассчитать среднегодовую стоимость основных производственных фондов, приуроченную к началу периода.
Технология решения задачи:
Среднегодовую стоимость основных производственных фондов, приуроченную к началу периода, рассчитывают по формуле:
| | (9) |
где Фн – стоимость основных фондов на начало года, руб.;
Фi – стоимость основных производственных фондов на начало i-го месяца, начиная с февраля (i = 2) и заканчивая декабрем (i = 12);
Фк – стоимость основных фондов на конец года, руб.
Как известно из условия задачи, стоимость основных фондов на начало года составляет 7825 тыс. руб.
Чтобы рассчитать стоимость основных производственных фондов на конец года, определим, чему равен прирост основных фондов. Как было сказано выше, он рассчитывается как разница между вновь введенными и ликвидированными фондами. Стоимость вновь введенных основных производственных фондов составляет
Фвв = 60 + 80 + 100 + 15 = 255 тыс. руб.
Стоимость ликвидированных основных производственных фондов составляет
Фвыб = 3 + 8 + 10 + 7 = 28 тыс. руб.
Прирост основных фондов, таким образом, составляет
Фприр = 255 – 28 = 227 тыс. руб.
Стоимость основных производственных фондов на конец года рассчитываем по формуле (2):
Фк = 7825 + 227 = 8052 тыс. руб.
Стоимость основных производственных фондов на начало февраля не изменилась, так как никаких изменений в их структуре не произошло. Поэтому Ф2 = Фн = 7825 тыс. руб.
В марте было введено основных фондов на 60 тыс. руб. и ликвидировано на 3 тыс. руб., поэтому Ф3 = 7825 + 60 – 3 = 7882 тыс. руб.
До июня никаких изменений в структуре основных производственных фондов не происходило, поэтому Ф4 = Ф5 = 7882 тыс. руб.
В июне было введено основных фондов на 80 тыс. руб. и ликвидировано – на 8 тыс. руб., поэтому Ф6 = 7882 + 80 – 8 = 7954 тыс. руб.
Подобным образом просчитываем стоимость основных производственных фондов до конца года. Занесем эти данные в табл. 2:
|
| Таблица 2 |
| i | 2 | 3 | 4 | 5 | 6 | 7 | 8 | 9 | 10 | 11 | 12 | |
| Ф i | 7825 | 7882 | 7882 | 7882 | 7954 | 7954 | 8044 | 8044 | 8044 | 8044 | 8052 | 87607 |
Подставив результаты наших вычислений в формулу (9), получаем значение среднегодовой стоимости основных производственных фондов на начало года:
Ответ: среднегодовая стоимость основных производственных фондов, приуроченная к началу периода, составила 7962,25 тыс. руб.
Задача 5
На основании условий предыдущей задачи №4 рассчитать среднегодовую стоимость основных производственных фондов, приуроченную к концу периода.
Технология решения задачи:
Среднегодовая стоимость основных производственных фондов, приуроченная к концу периода, рассчитывается по формуле:
| | (10) |
где Фвв – стоимость вновь введенных основных фондов, руб.;
Фвыб – стоимость выбывающих (ликвидируемых) основных фондов, руб.;
t1 – период работы введенных основных фондов (например, если новые основные фонды были введены с 01 октября расчетного года, то при прочих равных условиях в этом году они отработали три месяца, то есть t1 = 3);
t2 – период работы ликвидированных основных фондов (например, если ликвидированные основные фонды были выведены из эксплуатации с 01 июля расчетного года, то ими отработано шесть месяцев, то есть t2 = 6);
i=1, n, где n – общее количество мероприятий по введению в действие основных фондов;
j=1, m, где m – общее количество мероприятий по ликвидации основных фондов.
Алгоритм расчета сумм произведений стоимости основных производственных фондов (в тыс. руб.) и периода их работы (в мес.) можно представить таблицей.
|
| Таблица 3 |
| Месяц, в котором произошло мероприятие по изменению структуры фондов (на 01 число) | Фвв | t1 | Фвв t1 | Фвыб | t2 | Фвыб (12-t2) |
| Март | 60 | 10 | 600 | 2 | 2 | 20 |
| Июнь | 80 | 7 | 560 | 8 | 5 | 56 |
| Август | 100 | 5 | 500 | 10 | 7 | 50 |
| Декабрь | 15 | 1 | 15 | 7 | 11 | 7 |
| | 255 | 23 | 1675 | 28 | 25 | 143 |
Подставив известные значения в формулу для расчета среднегодовой стоимости основных производственных фондов на конец периода, получаем следующее:
Ответ: среднегодовая стоимость основных производственных фондов, приуроченная к концу периода, равна 7952,67 тыс. руб.
Сравнив результаты, полученные в процессе расчета по первому и по второму методам (ответы к задачам 4 и 5), видим, что они отличаются почти на 10 %. Это объясняется тем, что при расчете вторым методом происходит отклонение величины среднегодовой стоимости в сторону уменьшения, так как не учитывается среднегодовая стоимость всех наличных основных фондов, участвующих в процессе ежемесячно, а учитывается лишь стоимость вводимых и списываемых с баланса фондов.
Задачи на расчет норм амортизации и амортизационных отчислений современными методами
Амортизация в денежной форме выражает износ основных фондов и начисляется на издержки производства (себестоимость) на основе амортизационных норм.
Амортизационные отчисления по основным средствам начисляются с первого месяца, следующего за месяцем принятия объекта на бухгалтерский учет, и до полного погашения стоимости объекта либо его списания с бухгалтерского учета в связи с прекращением права собственности или иного вещного права.
Задача 1
Предприятием приобретен объект основных производственных фондов стоимостью 100 тыс. руб. со сроком полезного использования 10 лет. Определить годовую сумму амортизационных отчислений линейным (пропорциональным) способом.
Технология решения задачи:
Согласно линейному (пропорциональному) методу, происходит начисление равной нормы амортизации в любой период эксплуатации основных производственных фондов.
Для расчета нормы амортизации используют формулу вида:
| | (11) |
где На— годовая норма амортизации, в процентах;
T — срок полезного использования имущества, лет.
В нашей задаче годовая норма амортизационных отчислений составит
На = (1/10) 100 % = 10 %.
Годовая сумма амортизационных отчислений определяется путем умножения первоначальной стоимости приобретенного объекта Фп на годовую норму амортизации На:
| | (12) |
Итак, А = 100 * 0,1 = 10 тыс. руб.
Ответ: годовая сумма амортизационных отчислений, рассчитанная линейным методом, составляет 10 тыс. руб. в год в течение всего периода.
Задача 2
Предприятием приобретен объект основных производственных фондов стоимостью 100 тыс. руб. со сроком полезного использования 10 лет. Определить годовую сумму амортизационных отчислений способом уменьшаемого остатка.
Технология решения задачи:
Способ уменьшаемого остатка начисления амортизации иначе называют ускоренным методом, так как основная доля амортизационных отчислений приходится на первые годы службы оборудования.
Расчет годовой суммы амортизационных отчислений производится, исходя из остаточной стоимости основных средств и нормы амортизации.
Основой для вычисления нормы амортизации На ускоренным методом (при значении коэффициента ускорения, равном 2), является формула:
| | (13) |
где T — срок полезного использования имущества, лет.
Годовая норма амортизационных отчислений по способу уменьшаемого остатка в нашей задаче составит 20 %.
Годовая сумма амортизационных отчислений по способу уменьшаемого остатка определяется как произведение остаточной стоимости (то есть первоначальной стоимости, уменьшенной на величину амортизационных отчислений за прошедший период) на годовую норму амортизационных отчислений по формуле:
| | (14) |
где i – год, для которого рассчитываем амортизацию, i=1, n (n – амортизационный период);
Аj – амортизационные отчисления за предшествующий расчетному году период.
Например, для первого года службы объекта А1 = 100*0,2 = 20 тыс. руб.; для второго, соответственно, А2 = (100 – 20) *0,2 = 16 тыс. руб. и так далее.
Для наглядности результаты расчетов сведем в табл. 4.
|
| Таблица 4 |
| Год эксплуатации | Сумма амортизации за прошлый период Аj, тыс. руб. | Годовая сумма амортизационных отчислений Аi, тыс. руб. | Остаточная стоимость, тыс. руб. |
| 1 | 2 | 3 | 4 |
| 1 | 0 | 20 | 80,0 |
| 2 | 20 | 16 | 64,0 |
| 3 | 36 | 12,8 | 51,2 |
| 4 | 48,8 | 10,2 | 41,0 |
| 5 | 59 | 8,2 | 32,8 |
| 6 | 67,2 | 6,5 | 26,2 |
| 7 | 73,7 | 5,2 | 21,0 |
| 8 | 78,9 | 4,2 | 16,8 |
| 9 | 83,1 | 3,4 | 13,4 |
| 10 | 86,5 | 2,7 | 10,7 |
При нелинейном методе амортизационные отчисления постепенно уменьшаются и не происходит полного списания стоимости оборудования или зданий. Поэтому если остаточная стоимость оборудования достигла 20 % от первоначальной, то эта сумма делится на оставшийся срок полезного использования и списывается равномерно. В нашем примере, как видно из таблицы, это произошло на восьмом году полезного использования оборудования: его остаточная стоимость стала меньше 20 % от первоначальной и составила 16,8 тыс. руб. Данная сумма делится на оставшийся срок полезного использования (3 года) и равномерно списывается: 16,8/3 = 5,6 тыс. руб./год.
Ответ: годовая сумма амортизационных отчислений, рассчитанная способом уменьшаемого остатка, представлена в табл. 4.
Задача 3
Предприятием приобретен объект основных производственных фондов стоимостью 100 тыс. руб. со сроком полезного использования 10 лет. Определить годовую сумму амортизационных отчислений по сумме числа лет срока полезного использования.
Технология решения задачи:
Списание стоимости осуществляется, исходя из первоначальной стоимости основных средств и годового соотношения, где в числителе – число лет, остающихся до конца срока службы объекта, а в знаменателе – условный срок службы объекта.
В нашем случае для оборудования со сроком службы 10 лет условное количество лет составит Тусл = 1 + 2 + 3 + … + 10 = 55 лет.
Годовая норма амортизационных отчислений по способу списания стоимости по сумме числа лет срока полезного использования в первый год будет равна На = 10/55 = 18,2%; во второй год 16,4 % и так далее. Умножив эти значения на первоначальную стоимость основных фондов, получаем сумму годовых амортизационных отчислений.
Представим результаты в табл. 5.
|
| Таблица 5 |
| Срок полезного использования | На, % | А, тыс. руб. |
| 10 | 18,2 | 18,2 |
| 9 | 16,4 | 16,4 |
| 8 | 14,5 | 14,5 |
| 7 | 12,7 | 12,7 |
| 6 | 10,9 | 10,9 |
| 5 | 9,1 | 9,1 |
| 4 | 7,3 | 7,3 |
| 3 | 5,5 | 5,5 |
| 2 | 3,6 | 3,6 |
| 1 | 1,8 | 1,8 |
Ответ: годовые суммы амортизационных отчислений, рассчитанные способом списания по сумме числа лет срока полезного использования, представлены в табл. 5.
Задача 4
Организацией приобретено транспортное средство стоимостью 150 тыс. руб. с предполагаемым пробегом 1500 тыс. км. Пробег в отчетном периоде составляет 50 тыс. км. Определить сумму амортизационных отчислений за период пропорционально объему продукции (работ).
Технология решения задачи:
Годовая норма амортизационных отчислений пропорционально объему продукции (работ) рассчитывается по формуле:
| | (15) |
где Оотч – объем продукции (работ) в натуральном выражении в отчетном периоде;
Осумм – предполагаемый объем продукции (работ) за весь срок полезного использования основных средств.
Сумму амортизационных отчислений за отчетный период пропорционально объему продукции (работ), рассчитывают путем умножения первоначальной стоимости основных средств на норму амортизационных отчислений.
Из условия объем работ в отчетном периоде составляет 50 тыс. км. Первоначальная стоимость приобретенного объекта основных средств равна 150 тыс. руб. Предполагаемый объем продукции (работ) за весь срок полезного использования: 1500 тыс. км. На основе этих исходных данных получаем: 150.(50/1500) = 5 тыс. руб.
Ответ: сумма амортизационных отчислений за период, рассчитанная пропорционально объему продукции (работ), составит 5 тыс. руб.
Задача 5
Цена единицы оборудования составляет Цоб = 6 тыс. руб.
Значения затрат 3рем, связанных с поддержанием этого оборудования в работоспособном состоянии, приведены в табл. 6.
|
| Таблица 6 |
| Год эксплуатации | 3 | 4 | 5 | 6 | 7 | 8 | 9 | 10 |
| Затраты, тыс. руб. | 0,5 | 0,8 | 1,0 | 1,1 | 1,2 | 1,2 | 1,3 | 1,5 |
Определить экономически обоснованный срок службы оборудования.
Технология решения задачи:
Известно, что по мере увеличения срока службы основных производственных фондов годовые амортизационные отчисления сокращаются, так как изменяется норма амортизационных отчислений На. Чем больше срок службы оборудования, тем меньше амортизационные отчисления. Однако увеличение срока службы оборудования сопровождается ростом затрат на его ремонт. Экономически обоснованный срок службы оборудования определяется тем годом (Тэо), когда суммарные издержки, т. е. годовые амортизационные отчисления (Аi.) плюс затраты на ремонт (3рем), будут минимальными.
Иными словами, должно быть соблюдено следующее условие:
| Ai + 3рем = min, | (16) |
где А, — годовые амортизационные отчисления в i -и год:
| Аi = Цоб На. | (17) |
За основу расчета нормы амортизации возьмем отношение
На = 1/T. При сроке службы Т=1 год норма амортизации равна 1, суммарные издержки 6 тыс. руб., при сроке службы Т=2 года норма амортизации равна 0,5, суммарные издержки 3 тыс. руб. к ак видно из условия задачи, на третьем году эксплуатации суммарные издержки будут рассчитаны следующим образом:
Зсум = 6 . 1/3 + 0,5 = 2,5 тыс. руб.
Результаты остальных расчетов представим таблично.
|
| Таблица 7 |
| Год эксплуатации | 4 | 5 | 6 | 7 | 8 | 9 | 10 |
| Затраты, тыс. руб. | 0,8 | 1,0 | 1,1 | 1,2 | 1,2 | 1,3 | 1,5 |
| Аi, тыс. руб. | 1,5 | 1,2 | 1,0 | 0,86 | 0,75 | 0,67 | 0,6 |
| Зсум, тыс. руб. | 2,3 | 2,2 | 2,1 | 2,06 | 1,95 | 1,97 | 2,1 |
Таким образом, экономически обоснованный срок службы оборудования Тэо = 8 лет, так как при этом периоде эксплуатации суммарные издержки минимальны (они равны 1,95 тыс. руб.), а в дальнейшем начинают возрастать.
Задача 6
На предприятии имеется оборудование возрастом 9 лет. Определить годовой эффективный фонд времени работы данного оборудования.
Технология решения задачи:
По мере старения оборудования потенциальные возможности времени его работы сокращаются, т. е. в зависимости от количества лет эксплуатации годовой эффективный фонд времени работы оборудования уменьшается.
Годовой эффективный фонд времени работы единицы оборудования Фtэф в одну смену с возрастом до 5 лет не изменяется и составляет 1870 ч [2079 ч (1 – 0,1)], где 0,1 – доля времени, отведенная на ремонт. По мере увеличения возраста оборудования годовой фонд времени сокращается ежегодно на 1,5% для оборудования возрастом от 6 до 10 лет, на 2,0% – возрастом от 11 до 15 лет и на 2,5% – возрастом свыше 15 лет (по данным Бурбело О. Статистические методы оценки потенциала оборудования // Вестник статистики? 1992. № 8).
| Так, для возрастной группы до 5 лет Ф t эф = 1870 ч; от 6 до 10 лет Фtэф = 1870 {1 – [0,015 (tф – 5)]}; от 10 до 15 лет Фtэф = 1870 {1 – [0,015 х 5 + 0,02 (tф – 10)]}; свыше 15 лет Фtэф= 1870 {1 – [0,015-х 5 + 0,02 х 5 + 0,025 (tф – 15)]}. | (18) |
где tф – возраст оборудования.
Учитывая вышеизложенное, годовой эффективный фонд времени работы нашего оборудования будет равен 1758 ч:
Фt эф = 1870 {1 – [0,015 (9 – 5)]} = 1758 ч.
Ответ: годовой эффективный фонд времени работы оборудования 1758 ч.
Задача 7
Парк оборудования предприятия состоит из 30 единиц, из которых оборудование возрастом 4 года – 12 ед.; 12 лет – 12 ед., 17 лет – 6 ед. Определить годовой эффективный фонд времени работы парка оборудования.
Технология решения задачи:
Для расчета годового эффективного фонда времени работы оборудования воспользуемся формулой:
| | (19) |
где Фtэф – годовой эффективный фонд времени работы оборудования, в часах;
Фtэфi – годовой фонд времени работы единицы оборудования I–й возрастной группы;
i=1, m (m – количество возрастных групп);
ni – количество единиц оборудования в I–й возрастной группе.
Сначала, ориентируясь на пояснения (18), данные к задаче 6, определяем годовой фонд времени работы единицы оборудования I–й возрастной группы Фtэфi:
tф = 4 года: Фtэфi = 1870 ч.
tф = 12 лет: Фtэфi = 1870 {1 – [0,015 х 5 + 0,02 (12 – 10)]}=1655 ч.
tф = 17 лет: Фtэфi= 1870 {1 – [0,015 х 5 + 0,02 х 5 + 0,025 (17 – 15)]} = 1449 ч.
Теперь по формуле (19) определяем годовой эффективный фонд времени работы всего оборудования:
Фtэф = 1870 х 12 + 1655 х 12 + 1449 х 6 = 50 994 ч.
Ответ: годовой эффективный фонд времени работы парка оборудования составляет 50 994 ч.
Задача 8
Парк оборудования предприятия состоит из 30 единиц, из которых оборудование возрастом 4 года – 12 ед.; 12 лет – 12 ед., 17 лет – 6 ед. Определить годовой эффективный фонд времени работы парка оборудования на основе расчета среднего возраста парка оборудования.
Технология решения задачи:
Годовой фонд времени работы парка оборудования в данной задаче определяется как произведение годовогофонда времени работы единицы оборудования среднего возраста (
) на количество единиц оборудования в парке n.
| | (20) |
Годовой фонд времени работы единицы оборудования среднего возраста определяем, пользуясь формулами (18), но вместо фактического возраста tф подставляем средний возраст парка оборудования tср, рассчитанный по формуле:
| | (21) |
Итак, средний возраст нашего парка оборудования:
Теперь рассчитываем годовой фонд времени работы нашего парка оборудования:
Фtэф = 1870 {1 - [0,015 (9,8 - 5)]} х 30 = 52 061 ч.
Сопоставим результат с тем, что получен по результатам расчетов задачи 7:
Полученная ошибка составила 2 %, поэтому расчет утверждается. Ошибка более 2 % считается экономически неоправданной, и расчет при такой ошибке не утверждается.
Ответ: годовой эффективный фонд времени работы парка оборудования составляет 52 061 ч.


,
Определение показателей использования основных фондов предприятия 